Анализ популярных решений в web-дизайне

Web Design Practices
автор: 2003 Heidi P. Adkisson
перевод: 05.12.2003 Максим Россомахин и Александр Качанов

« назад к списку решений

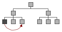
Ссылки на элемент этого же уровня (Across-to-Sibling Links)

Ссылки предоставляющие пользователям доступ доступ к страницам, имеющим того же "родителя"; позволяют пользователю перемещаться по текущему уровню иерархии сайта.

Ниже представлены собранные в мае 2002 года статистические данные о 75 сайтах-лидерах, занимающихся электронной коммерцией. (список сайтов)

Частота применения сайтами

27% исследованных страниц имели этот тип ссылок. Эта частота вычислена по количеству страниц, где ссылки на соседние элементы могли встречаться. [подробности]

Обсуждение результатов.

Положение на странице

68% Слева
[см.пример]
18% Сверху
[см.пример]
11% Справа
[см.пример]
2% В области основного содержимого
[см.пример]

Стиль исполнения

[определение стилей]

  • 54% Навигационная панель
  • 28% Простой список
  • 1% Выпадающее меню
  • 3% Всплывающее меню

« назад к списку решений

« назад к списку статей

Rambler's Top100
Rating All.BY
Akavita
Valid XHTML 1.0!